Описание
Воздушный фильтр WII AUTO 25062268/LT106 защищает двигатель вашего автомобиля от пыли, грязи и различных мелких частиц, обеспечивая стабильно высокий уровень чистоты поступающего воздуха. Использование качественных материалов и инновационных технологий делает этот фильтр для двигателя отличным выбором для вашего автомобиля.
Воздушный фильтр WII AUTO 25062268/LT106 применяется для автомобилей ДЭУ Эсперо, Нексия, Форд Гранада, Сиера, Скорпио, Ниссан 100NX, 300ZX, Опель Кадет, Омега, Шкода Румстер, Вольво C70
✔ DAEWOO CIELO
✔ DAEWOO ESPERO (KLEJ) NEXIA седан
✔ FORD GRANADA II (GU)
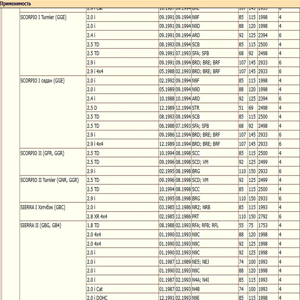
SCORPIO I (GAE, GGE)
SCORPIO II (GFR, GGR)
SIERRA I Хэтчбэк (GBC)
SIERRA II (GBG, GB4)
✔ NISSAN 100NX (B13)
300ZX (Z32)
✔ OPEL KADETT E (T85)
OMEGA A (V87)
✔ SKODA ROOMSTER Praktik (5J)
✔ VOLVO C70 I Кабриолет (873)
ОЕ: 25062264; 90409067; 834291; 25062268; 90322689; 834251; 90322688; 540; 834291; 834251; VAF-540; 3053193; 03053193; 96082370; 92 060 868; 25062398; 25062268
Исполнение фильтра Фильтр-патрон
Длина [мм] 247 мм
Ширина [мм] 211 мм
Высота [мм] 39 мм
Вес [кг] 0,245 кг
Этот воздушный фильтр выполнен с учетом всех стандартов и требований, что гарантирует оптимальную фильтрацию и защиту двигателя. Фильтр автомобильный WII AUTO прост в установке и обслуживании, что делает его идеальным вариантом для автолюбителя любого уровня подготовки. Выбирайте воздушный фильтр WII AUTO и обеспечьте своему автомобилю надежную защиту и оптимальную работу двигателя.
👉 При выборе запасных частей обратите внимание на совместимость с вашим автомобилем. В описании каждого товара указаны марки и модели автомобилей, для которых подходит данная запчасть. В случае возникновения сомнений по применимости, задайте нам вопрос в разделе «вопросы о товаре» с указанием VINномера вашего авто, и мы проверим по техническим каталогам!











Отзывы
Отзывов пока нет.