Описание
Масляный фильтр WII AUTO SMD360935/LT062, предназначенный для автомобилей Опель, Форд, Пежо, Ситроен, Мицубиши, Фиат, Исузу, Киа, Мазда, Вольво. Этот фильтр обеспечивает надежную защиту двигателя от вредных частиц и загрязнений, что способствует увеличению срока службы вашего автомобиля и улучшению его работы.
✔ OPEL ASTRA F седан (T92); ASTRA F универсал (T92); ASTRA F Фургон/универсал (T92); ASTRA F Хэтчбэк (T92); COMBO Tour (X12); COMBO Автофургон / микроавтобус (71_); COMBO Автофургон / микроавтобус (X12); CORSA A TR (S83); CORSA A Фургон/хетчбэк (S83); CORSA A Хэтчбэк (S83); CORSA B (S93); CORSA B Фургон/хетчбэк (S93); VECTRA A (J89); VECTRA A Хэтчбэк (J89); VECTRA B (J96); VECTRA B универсал (J96); VECTRA B Хэтчбэк (J96)
✔ FORD USA PROBE II (ECP) FORD KA (RU8)
✔ GREAT WALL COOLBEAR
✔ PEUGEOT 4007 (VU_, VV_); 4008
✔ ALFA ROMEO MITO (955_)
✔ BRILLIANCE M1
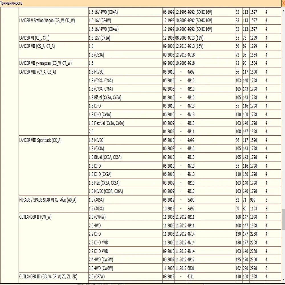
✔ MITSUBISHI ASX (GA_W_); CARISMA (DA_); CARISMA седан (DA_); COLT III (C5_A); COLT IV (CA_A); COLT V (CJ_, CP_); DELICA / SPACE GEAR; ECLIPSE I (D2_A); ECLIPSE II (D3_A); GALANT VI (E3_A); GALANT VI седан (E3_A); GALANT VII (E5_A, E7_A, E8_A); GALANT VII седан (E5_A, E7_A, E8_A); GALANT VIII (EA_); GALANT VIII универсал (EA_, EC_); L 300 III Автобус (P0_W, P1_W, P2_W, P3_W); L 300 III Фургон (P0_V, P1_V, P2_V); L200 (K7_T, K6_T, K5_T); L200 / TRITON (KJ_, KK_, KL_); L400 Автобус (PD_W, PC_W, PA_V, PB_V, PA_W); LANCER III Station Wagon (C1_V, C3_V); LANCER IV (C6_A, C7_A); LANCER IV Хэтчбэк (C6_A, C7_A); LANCER V (CB_A, CD_A, CE_A); LANCER V Station Wagon (CB_W, CD_W); LANCER VI (CJ_, CP_); LANCER VII (CS_A, CT_A); LANCER VII универсал (CS_W, CT_W); LANCER VIII (CY_A, CZ_A); LANCER VIII Sportback (CX_A); MIRAGE / SPACE STAR VI Хэтчбэк (A0_A); OUTLANDER II (CW_W); OUTLANDER III (GG_W, GF_W, ZJ, ZL, ZK); PAJERO I (L04_G, L14_G); PAJERO II (V3_W, V2_W, V4_W, V5_W); PAJERO II Canvas Top (V2_C, V4_C); PAJERO PININ I (H6_W, H7_W); PAJERO SPORT II (KH_, KG_); SPACE RUNNER вэн (N1_W, N2_W); SPACE STAR вэн (DG_A); SPACE WAGON (D0_V/W); SPACE WAGON (N3_W, N4_W)
✔ CITROEN C4 AIRCROSS; C-CROSSER (VU_, VV_); C-CROSSER ENTERPRISE (VU_, VV_)
✔ FIAT 500 (312_); 500 C (312_); 500 C (312_); BRAVA (182_); BRAVO I (182_); BRAVO II (198_); DOBLO c бортовой платформой/ходовая часть (263_); DOBLO Cargo (263_); DOBLO Автобус (263_); DOBLO Автофургон / микроавтобус (223_); DOBLO вэн (119_, 223_); FIORINO Автофургон / микроавтобус (225_); GRANDE PUNTO (199_); IDEA (350_); LINEA (323_, 110_); MAREA (185_); MAREA Weekend (185_); PALIO (178_, 171_, 371_); PALIO Weekend (178_, 173_, 373_, 374_, 171_); PANDA (169_); PANDA (312_, 319_); PANDA VAN (312_, 519_); PANDA Фургон/хетчбэк (169_); PUNTO (176_); PUNTO (188_); PUNTO (199_); PUNTO EVO (199_); PUNTO Кабриолет (176_); PUNTO Фургон/хетчбэк (188_); QUBO (225_); SEICENTO / 600 (187_); STILO (192_); STILO Multi Wagon (192_) ; STRADA Пикап (178_, 278_); TIPO седан (356_, 357_); TIPO универсал (356_, 357_); TIPO Хэтчбэк (356_, 357_)
✔ ISUZU GEMINI; GEMINI (JT); GEMINI седан; GEMINI седан (JT)
✔ KIA CARNIVAL I (UP); CARNIVAL II (GQ) LANCIA MUSA (350_); Y (840_); YPSILON (312_); YPSILON (843_)
✔ MAZDA 323 F V (BA); 616 (SNA); 626 I (CB); 626 II (GC); 626 II Hatchback (GC); 626 II купе (GC); 626 IV Hatchback (GE); 818 универсал; 929 I (LA); 929 II (HB); 929 II купе (HB); 929 II универсал (HV); 929 III (HC); E c бортовой платформой/ходовая часть (SD1); E c бортовой платформой/ходовая часть (SD1, SL); E Автобус (SR1); E Фургон; E Фургон (SR2); MPV I (LV); MX-3 (EC); MX-6 (GE); RX-7 II (FC); RX-7 II Кабриолет; XEDOS 6 (CA); XEDOS 9 (TA) PROTON GEN 2 (CM_); PERSONA 400 (C9_S); PERSONA 400 Хэтчбэк (C9_C, C9_S)
✔ VOLVO S40 I (644); V40 универсал (645)
ОЕ 71772205; 71773184; 1535 505; 3803 268; 1699 522; J EY0-14302 A; J EY0-14302-9A; J E15-14302; A 000 180 28 10; MD135737; MD352627; MD360935; MZ690070; MZ690115; MD321589; 1230A182; MD320276; MR 984204; MD332687; MD365876; 1230A184; 15208-31U0A; 30866266; 0JE15-14302; 90541162; 90541163; 93156956; 94316263; 12582255; 93182630; 1109.AC; 1109.AE; 1109.CG; SMD360935
Исполнение фильтра Накручиваемый фильтр
Размер резьбы M 20 X 1.5
Высота [мм] 85.5 мм
Диаметр корпуса [мм] 68 мм
Клапан С возвратным клапаном.
Наружный диаметр уплотнительного кольца [мм] 63.1 мм
Изготовленный по современным технологиям, фильтр соответствует высочайшим стандартам качества и надежности. Он эффективно задерживает грязь и металлические частицы в масле, что предохраняет двигатель от преждевременного износа и повреждений. Регулярная замена масляного фильтра обеспечивает оптимальную производительность двигателя, что особенно важно для современных авто, работающих в различных условиях.
Фильтр легко устанавливается и подходит к ряду моделей автомобилей, обеспечивая идеальную совместимость и простоту обслуживания. Благодаря высококачественным материалам, из которых он изготовлен, данный фильтр гарантирует долговечность. С ним ваш автомобиль всегда будет готов к дороге.
Не забывайте о важности использования качественных запчастей для обслуживания своего автомобиля. С данным масляным фильтром вы уменьшаете риски поломок и поддерживаете двигатель в отличном состоянии, что в свою очередь влияет на безопасность и комфорт во время вождения.
👉 При выборе запасных частей обратите внимание на совместимость с вашим автомобилем. В описании каждого товара указаны марки и модели автомобилей, для которых подходит данная запчасть. В случае возникновения сомнений по применимости, задайте нам вопрос в разделе «вопросы о товаре» с указанием VINномера вашего авто, и мы проверим по техническим каталогам!

















Отзывы
Отзывов пока нет.